研究前沿

广元千佛崖石窟监测

摘要: 清源文化遗产微信号 mobiheritage位于嘉陵江畔的广元千佛崖作为我国第一批全国重点文物保护单位,其历史可上溯至北魏,至唐而臻极盛,绵延及至明清而不绝。可以说,不论是从历史、艺术还是社会角度来看,广元千佛崖都是我国石窟中不可多得的传世佳作。然而几年前发生在千佛崖的一幕却给我们敲响了警钟:曝露在自然条件之中的窟龛所遭受的风化作用已经到了 ...
清源文化遗产
微信号 mobiheritage

位于嘉陵江畔的广元千佛崖作为我国第一批全国重点文物保护单位,其历史可上溯至北魏,至唐而臻极盛,绵延及至明清而不绝。可以说,不论是从历史、艺术还是社会角度来看,广元千佛崖都是我国石窟中不可多得的传世佳作。


然而几年前发生在千佛崖的一幕却给我们敲响了警钟:曝露在自然条件之中的窟龛所遭受的风化作用已经到了极为严重的地步。

一夜风雨,观音像的左手竟然因之掉落崩碎,不能不令人唏嘘叹息。但除了叹息,上述在极端环境情况下发生的严重残损,更是给保护工作者最后的通牒——解决广元千佛崖存在的环境问题已是刻不容缓。


现有研究业已证明,极端的环境条件、环境的剧烈变化与大量表面病害关系密切,是石窟赋存环境中的重要不利因素。具体到广元千佛崖,前人多将亟待解决的环境问题归纳为以下几点:风蚀、雨水径流冲刷、温湿度剧烈变化。那么究竟千佛崖所处的环境是怎样的、特点如何、与病害残损间存在着怎样的关系、又该如何向有利于石窟长久存留的方向引导,这些问题的解答都必须依赖于环境监测。

我们在广元千佛崖已经开展的第一期监测中共布置了六个测点,监测内容包括千佛崖区域空气温度、相对湿度、降雨量、风速、风向,不同进深、不同位置、不同朝向的五个代表窟龛的内部空气温度、相对湿度、窟龛内壁面表面温度、窟龛外壁面表面温度。

千佛崖整体的环境特点可以进行如下的简单形容:风大、雨疾、温湿度变化剧烈。

说起环境监测工作不能不提的是莫高窟保护。在大量研究工作的基础上,敦煌提出“通过窟龛内的传感器获知窟内环境情况并据此控制进入该窟的游客人数乃至停止开放”的保护策略,以此确保窟龛内环境处于适宜范围内。


那么广元千佛崖是否与此类同呢?答案是否定的。


敦煌这一策略的前提条件是“游人是诱使窟龛内环境向不利于保护的方向偏离的重要因素”。而在千佛崖案例中却并非如此:

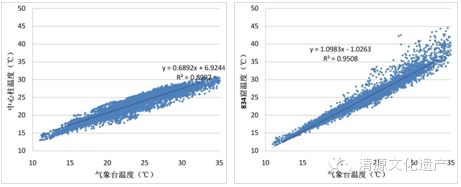
可以看出,即使在千佛崖进深最大的窟龛里,窟内外温湿度间的关系也几近完全的线性。也就是说,窟内的环境变化基本就是窟外环境变化造成的,游人在其中的作用难以与外界环境相比拟。

而对比不同进深的窟龛时则会发现,进深较大的窟龛在受到外界环境影响时有一定的“缓冲”左右(反映在上图斜率的不同中),其内部变化将衰减为外界的70%左右。


而在窟龛内部的表面温度上也同样反映出类似的规律,于以下几张红外照片中便可见一斑:

突出部位温度变化较其它部位更为明显。

整体性较好的部位温度变化较为一致。

造像的外侧、肢体的温度变化比其他部位更为明显。

即使是在窟内,不同小龛中依然存在着外侧温度变化甚于内侧的现象。

风裹挟着细小颗粒如砂纸一般不停磨蚀着千佛崖的石刻。但是如果单纯阻止风进入石窟区域,却会导致千佛崖整体湿度的上升。下图是监测过程中不同风速区段所对应的空气绝对湿度(全年平均值):

监测还给出了窟龛内凝结情况的估算。根据湿空气热质交换相关理论,空气的水蒸气分压力高于或等于壁面温度所对应的饱和水蒸气分压力是凝结的必要条件。故该洞窟内外两侧可能出现凝结时间基本集中于7、8月份,而其余时间出现凝结的可能性较小。

在可能出现凝结的时段中,由于洞窟内各项参数的不同,凝结的速度即凝结量也不同。为进一步分析凝结时段的凝结量,对其中一段凝结时段进行凝结量估算:


限于篇幅,我们未能将监测成果全部呈现在短短一篇文章中。在此将我们于监测工作中体会到的一二心得与读者分享。


千佛崖地处嘉陵江畔,在夏季有明显降雨,因而有明显的内、外湿源。故而不论降雨与否均有大量蒸发为空气提供充足的补充。当日照强度随着太阳高度角变化而正常变化时,空气温度也随之起落。当风速较小时,虽然空气流动对温度、湿度均起到一定的降低作用,但这一作用与太阳辐射对空气温度影响、空气温度与相对湿度耦合关系相比处于劣势。当风速较大时,整体的通风情况较好,相比于太阳辐射对温度影响、温湿度耦合关系,通风作用在温湿度变化中占主导地位。因此,随着千佛崖地区风速、风向的频繁脉动变化,空气温度在“正常变化”与“随强风陡降”两种规律间变换,空气整体的相对湿度会随之产生剧烈波动。


当区域风速较大时,对于进深浅或暴露于外的造像而言,风将最大程度地将微环境蜕化为大气环境,同时还会对造像表面带来力学影响。通过环境监测发现,该区域主流风向为北风与东北风。北风为我国秋冬季常见季风风向,而东北风为沿河谷方向的河谷风。这两种风向都将直接冲击崖壁,并在部分窟龛造成高速涡旋。在上述环境因素作用下,遭到直接的动能冲击的岩体被磨蚀,进而粉末化、颗粒化剥落。


千佛崖龛窟岩体表面受阳光直射,虽然千佛崖地区整体日均温度较为稳定,但在太阳直射期会造成短时间高温。由于表层岩石在常年的自然营力作用下已经严重劣化,其结构强度大为下降,故而午间外露表面对表层岩石尤为危险。


微环境参数中,空气温湿度是诱发大量表面病害的重要因素。千佛崖微环境中,空气湿度变化幅度较温度更大,如以相对湿度为标准衡量,其最大变化幅度可达70%左右。空气湿度变化将在多个方面影响岩体病害情况。首先,随着空气湿度的变化,岩石饱水系数变化,进而造成表层岩石抗压强度、抗拉强度、弹性模量等多种力学性能的改变。当实际载荷进入其承载能力的危险区域,发生脆性形变、破坏的可能性将大幅增加。其次,千佛崖地区富含的泥岩、砂岩等岩种中胶结物质可溶于水。当环境湿度较高时,表层岩体吸水,其胶结物质溶解于岩体内部液态水中,当环境湿度大幅度降低时,岩体内的液态水向空气侧转移,并进而流出岩石或在表层蒸发。这一过程的频繁发生造成了表层岩体内胶结物质不断流失,并伴随发生结晶带来额外的形变应力与结晶应力,将严重破坏表层岩体原本已弱化的力学性能,使表层岩石更为脆弱。其三,环境温湿度与岩体表面温湿度的变化带来的凝结、蒸发循环,将最大程度扩大上述湿度变化带来的病害问题。


在监测工作持续进行的同时,我们还将监测成果与计算机模拟手段结合,力图对进行中的千佛崖保护设施设计提供更丰富的数据背景与科学支撑。

上图为保护设施的初期设计中,我们对北风情况下有无保护设施时窟龛区域风环境进行的模拟结果。

上图为保护设施的初期设计中,我们对东北风情况下有无保护设施时窟龛区域风环境进行的模拟结果。

在设计的最初阶段,保护设施为了解决风蚀问题,其迎风面是基本封闭的,而上述模拟结果发现封闭的保护设施将大幅降低通风量。在监测工作中我们已经证实通风量的降低将导致内部湿度的升高。

结论

半开放的赋存环境则可以实现维持通风量基本不变的前提下实现气流的再组织、降低日间高温拉高夜间低温,将不利于石窟的因素引导成为危害较小的因素,进而在维持原有基本平衡的基础上平缓剧烈的环境变化。


以平缓环境变化为目的、不以颠覆性地改造环境为目标的,这正是我们千佛崖监测与模拟工作持续至今所得到的定性建议。同时,也是千佛崖保护设施设计以及试验段工作开展的重要科学前提。


针对千佛崖本体与环境的监测和模拟还将持续进行,并将继续与保护设施设计、试验段建设紧密配合,为千佛崖赋存环境的优化戮力以赴。


*文中所有图片均由CHCC综合一所提供。


安程
本文执笔安程,为CHCC遗产地监测领域领衔新秀。本科毕业于清华大学建筑环境与设备工程系,现为清华大学博士生,师从吕舟教授,致力于中观环境影响下的文化遗产保护研究、文化遗产环境监测及微环境控制。

■项目名称:广元千佛崖石窟监测
■起始时间:2013年
■项目地点:四川省广元市
■进展程度:第一期结束,第二期正在进行

想多了解广元千佛崖摩崖造像保护设施试验段设计,请直接点击“阅读原文”。


清源文化遗产
我们是一群工作在文化遗产保护领域第一线的青年,跟您分享实践思考、学术成果、思想碰撞,以及深入遗产地带来的好吃好玩。
*有关于文化遗产保护的话题或疑问,直接微信回复公众号。



微信丨mobiheritage
网站丨chcc.thad.com.cn




清源文化遗产

*专业思维
*国际视野
*协同探索
*分享新知


分类: 中文 研究 研究前沿
关键词:

img

地址:陕西省西安市碑林区友谊西路68号小雁塔历史文化公园
邮件:secretariat#iicc.org.cn
电话:(+86)029-85246378